Experiment 4 - Oxidation of Acetophenone
Objective
-
•to demonstrate a simple application of the "Iodoform" reaction
-
•to illustrate that common household chemicals can be important reagents
-
•to utilize simple test tubes to run a reaction
Introduction
The haloform reaction is characteristic for methylketones as well as for alcohols (e.g. ethanol, 2-propanol), that can be oxidized to methyl carbonyl compounds. The iodoform test is commonly used as a test for the CH3—CO group. The group to which the CH3—CO group is attached can be aryl, alkyl and hydrogen. In this experiment you will explore a variant of the haloform reaction, using bleach as the oxidizing agent.Mechanism of the Classic Iodoform Reaction
- Step 1: First, an acid-base reaction. Hydroxide functions as a base and removes the acidic α-hydrogen, giving the enolate.
- Step 2: The nucleophilic enolate reacts with the iodine giving the halogenated ketone and an iodide ion.
- Step 3: Steps 1 and 2 repeat twice more yielding the trihalogenated ketone.
-
Step 4: The hydroxide now reacts as a nucleophile at the electrophilic carbonyl carbon, with the C
O becoming a C—O single bond and the oxygen is now anionic.
-
Step 5: Reform the favorable C
O and displace a leaving group, the trihalomethyl system which is stabilized by the 3 halogens. This gives the carboxylic acid.
- Step 6: An acid-base reaction. The trihalomethyl anion is protonated by the carboxylic acid, giving the carboxylate and the haloform (trihalomethane).
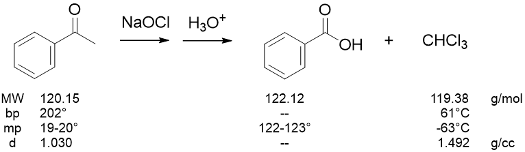
Figure 1
Pre-Lab
Complete the pre-lab assignment in WebAssign.Equation
Figure 2
Procedure
1
Carefully add 180 µL of acetophenone to a clean 6" test tube.
2
Add 6.3 mL of household bleach to the 6" test tube.
3
Add 0.5 mL of 10% sodium hydroxide (NaOH) to the 6" test tube.
4
Heat the reaction mixture in a warm water bath (~75°C) for 20 minutes. During the heating, frequently shake the test tube side-to-side to ensure mixing of the reagents.
5
While the solution is being heated, weigh out about 45.0 mg (0.045 g) of sodium sulfite.
6
After the solution has reacted for 20 minutes, carefully add the sodium sulfite to quench any unreacted bleach (NaOCl).
7
Shake this mixture for 5 minutes. (Shake side to side or swirl. Do not invert or move test tube vertically.)
8
Extract the mixture with a 1.5 mL portion of diethyl ether. (Use the dispensing pipet, with a 1 mL mark, to approximate this volume.)
Caution:
Diethyl ether is a highly flammable solvent!
Diethyl ether is a highly flammable solvent!
9
Stopper the test tube with a cork, and carefully shake for about 10 seconds.
10
Remove the cork and allow the layers to separate.
11
Remove the top layer.
12
Repeat the extraction with two additional 1.5 mL portions of ether.
13
Discard the combined ether extracts in the "Organic Waste" in the hood.
14
Cool the remaining aqueous layer in the test tube in an ice bath and acidify it by the dropwise addition of concentrated HCl. After the addition of each drop or two of HCl, check the pH in the test tube using a glass rod to transfer a drop to pH paper. Stop as soon as pH goes below 3. (Excess acid introduces excess water which reduces yield.)
Caution:
Neutralization of hydrochloric acid is very exothermic and must be done in an ice bath.
Neutralization of hydrochloric acid is very exothermic and must be done in an ice bath.
15
Collect the thick white precipitate via vacuum filtration. Here is a video that shows how to perform the vacuum filtration.
16
Wash the test tube with 1 mL of ice-cold tap water and pipet the washing over the solid on the filter.
17
Allow the crystals to dry by placing them on a watch glass in the oven for 15 minutes.
18
Determine the melting point (see
this video), the actual yield, and the percentage yield (see
this video).
Waste Disposal
1
The ether should be placed in the organic liquid waste container. The aqueous washings should be placed in a beaker designated by your TA to be neutralized.
In-Lab Questions
Download and print the worksheet. You will use this worksheet to record your answers to the In-Lab questions.Questions
Record the following data.- Question 1: Amount of acetophenone used ____________ mL, ______________ g, _____________ mol
- Question 2: Theoretical Yield of Benzoic acid ___________________ mol, ___________________ g
- Question 3: Actual Yield ___________________
- Question 4: Percentage Yield ___________________
- Question 5: Show your calculations.
- Question 6: Melting Point of Product _________________ (observed), _________________ (reported)

