Lab 14 - Determination of Amount of Vitamin C in a Commercial Product by Redox Titration
Goal and Overview
The amount of ascorbic acid (vitamin C) in a commercial product will be determined by using redox titration of vitamin C with 2,6-dichloroindophenol (DCP). In the first set of titrations, a DCP solution will be standardized against samples containing known amounts of vitamin C. The result of part 1 will be used to determine the vitamin C content in an unknown solution in a second set of titration experiments.Objectives of the Data Analysis
-
•practice with unit conversions and using concentration units
Suggested review and external reading
-
•introduction to data analysis; textbook information on titration and redox
Background
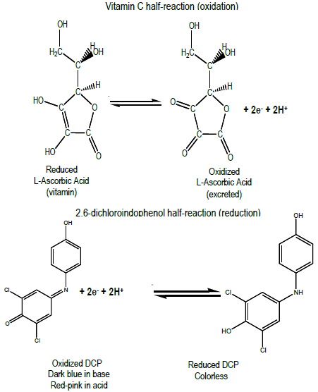
Vitamin C is known to be important in the human diet. In the mid-1700's it was discovered that vitamin C contained in citrus fruits prevented scurvy. Today, the FDA has recommended a minimum vitamin C daily allowance for adults of 60 mg. A debate has raged for decades about the benefits of much larger doses. Millions of people swear that they have fewer colds when they consume much larger daily doses, and Linus Pauling believed people should supplement their diets with up to 16 g of vitamin C per day. Pauling (1901 - 1994) received the Nobel Prize in Chemistry in 1954, the Nobel Prize for Peace in 1962, and barely missed the Nobel Prize in Biology that was awarded to Watson and Crick. You cannot measure vitamin C concentration by acid-base titration because there are many acids and bases in foodstuffs, as well as other products that interfere with acid-base titration. Instead, a particular redox titration is used. The intensely colored titrant, 2,6-dichloroindophenol, or DCP, is quite specific in its ability to oxidize only vitamin C. DCP is dark blue in neutral and basic solutions and red in acidic solutions. The compounds involved in this redox reaction are shown in the half-reactions.( 1 )
Ox: vitamin Cred → vitamin Cox + 2 e− + 2 H+
( 2 )
Red: DCPox + 2 e− + 2 H+ → DCPred
( 3 )
Overall: vitamin Cred + DCPox → vitamin Cox + DCPred
Figure 1
( 4 )
Vitamin C (colorless) + DCP (color) → products (colorless)
Procedure
Caution:
Do not fill burets on the work-bench. Always keep all chemicals below eye level.
Do not fill burets on the work-bench. Always keep all chemicals below eye level.
Figure 2
Titrating Practice (see guidelines on buret usage, reference info):
-
1Put some water in the buret and practice controlling the stopcock.
-
2If you have air bubbles in the buret, gently knock the bottom of the buret to free them so they can rise to the surface.
-
3Mount the buret on the stand. In real titrations, you would put a white towel or piece of paper over the dark base of the ring stand so the color change of the indicator will be easy to see.
-
4Practice reading the volume (liquid level at the bottom of the meniscus). Take readings to 0.01 or 0.02 mL.
-
5Record the initial volume of water. Add water to a collection flask and read the new volume. Find the volume of water added by subtracting the initial buret reading from the final reading (volume by difference).
-
6Practice by delivering a millilter, a few drops, and one drop.
Part 1: Standardization of the DCP Titrant / # mg Vitamin C Oxidized per mL DCP Solution
1
Accurately weigh out about 50 mg of the vitamin C powder and dissolve with distilled water in a 100 mL volumetric flask. Stopper and shake the solution enough to dissolve all of the ascorbic acid. Keep the vitamin C solution stoppered to avoid vitamin C oxidation by the oxygen in air.
2
Accurately pipet 10.00 mL of the vitamin C solution into a 250 mL Erlenmeyer flask.
3
Add roughly 20 mL distilled water and 10 mL pH 3 buffer. These volumes do not have to be exact.
In general, your first titration is a trial. This will allow you to:
-
afind the approximate volume of DCP needed to reach the endpoint; and
-
bbe familiar with the color change at the endpoint.
The endpoint (or equivalence point) is at the appearance of the beige color. You can save this sample to compare with other runs. If the color fades, it means that ascorbic acid is probably being gradually released from something on which it is absorbed. You can assert that, if the solution holds its color for 30 seconds, you have reached the endpoint. Just be consistent.
4
Prepare a 50-mL buret containing DCP solution. First, clean the buret with soap and tap water, followed by two rinses with deionized water. Then, rinse the buret with a small amount of DCP. Finally, add DCP until the liquid level is near the top of the graduated part of the buret.
5
Do a trial titration with DCP. Record the initial DCP volume, then slowly add DCP while swirling the flask. Eventually the color change will persist for about 30 seconds. Add DCP drop-wise until the very faint beige/pink persists. Record the final volume.
6
Save the trial flask as a standard for the final color at the equivalence point.
7
Prepare more samples (10.00 mL vitamin C aliquot + 20 mL water + 10 mL buffer) as needed.
8
Titrate samples until you have 3 consistent trials (similar colors and similar DCP volumes added).
9
For each run, calculate the volume of DCP used and number of milligrams vitamin C oxidized per mL DCP. Find the average # mg vitamin C reacted / mL DCP added. Write the average on the blackboard with your names.
Part 2: Analysis of a Liquid Sample
Note:
-
aThe sample to analyze for vitamin C should be a liquid provided by the stockroom.
-
bFor this experiment, a good titration uses about 10 mL of DCP.
-
cYou may have to experiment to find out what volume aliquot of liquid to use in the titrating flask. Dilute this liquid only if the titration uses over 15 mL DCP. Another variable you can adjust is the concentration of DCP. Your TA will provide information regarding this.
-
dIf a sample has a " % Daily Value " of vitamin C on a container label, you should calculate an approximate sample size to use in your first titration. Record all the information on the label.
1
Put your sample into a 250 mL Erlenmeyer titration flask containing roughly 25 mL distilled water and 10 mL pH 3 buffer.
2
Titrate to a permanent light beige/pink endpoint. Save this sample to compare with the other runs. If this sample requires more than 15 mL or less than 10 mL DCP, adjust the aliquot so that you use about 10 mL DCP per titration.
3
After the trial titration, repeat the titration 2 - 3 times (time permitting).
4
For each trial, use the result of Part 1 to calculate the number of mg vitamin C in the sample. You must be able to quantitatively relate the amount of vitamin C in your aliquots to the vitamin C in your original sample.
5
Determine the average mg vitamin C per L (or per mL) in the unknown solution and the standard deviation.
Results
Complete your lab summary or write a report (as instructed).Abstract
Sample Calculations
DCP standardization (Part 1)
Vitamin C in sample (Part 2)
Results
Report the concentration of vitamin C in your sample
What volume of the sample liquid would you need to consume to provide the FDA's recommended daily allowance of 60 mg/day?
What about Linus Pauling's recommended daily allowance of 16 g/day?
Discussion/Conclusions
What did you find out and how?
What could be done to improve the accuracy in any or all of the methods?
